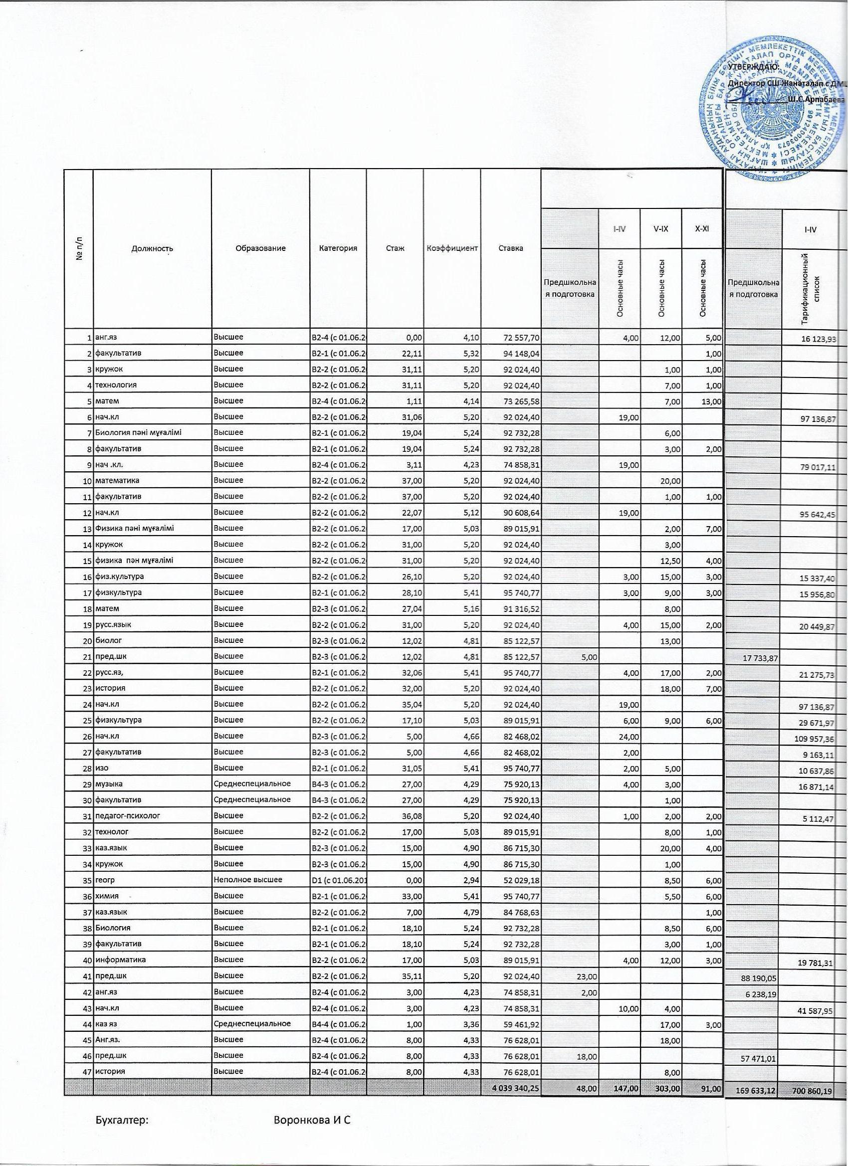
МДШО бар Жаңаталап орта мектебі Ұмтыл бастауыш мектебімен КММ-нің мұғалімдері мен қызметкерлерінің бюджеттік көрсеткіші » МДШО бар Жаңаталап орта мектебі КММ
Жетісу облысы білім басқармасының
Қаратал ауданы бойынша білім бөлімінің
"МДШО бар Жаңаталап орта мектебі"
комуналдық мемлекеттік мекемесі
Қабылдау бөлімі :
+7(728)34-28-7-40
Есепші бөлімі:
+7(728)34-28-7-40
Нашар көрушілер
нұсқасы
» » МДШО бар Жаңаталап орта мектебі Ұмтыл бастауыш мектебімен КММ-нің мұғалімдері мен қызметкерлерінің бюджеттік көрсеткіші
18
октябрь
2019

МДШО бар Жаңаталап орта мектебі Ұмтыл бастауыш мектебімен КММ-нің мұғалімдері мен қызметкерлерінің бюджеттік көрсеткіші

http://zhanatalap-karatal.mektebi.kz/uploads/posts/2019-1








0/1571399347_ssh-zhanatalap-ahp.jpg

Похожие публикации: